Page 553 

Chapter 27 Biotechnologically produced products

David G. Watson

Chapter contents

Proteins as drugs 554
Introduction 554
Disadvantages and advantages of protein drugs 554
Production of peptide drugs by chemical synthesis 554
Synthetic peptide drugs 557
Production of protein and peptide drugs by genetically modified bacteria 557
Introduction 557
Advantages of producing rDNA drugs in bacteria 557
Disadvantages of the production of rDNA drugs in bacteria 558
Strategies for improving the production of rDNA drugs by bacteria 558
An example of the production of a rDNA drug by E. coli 558
The structure of insulin 558
The need for biotechnologically produced insulins 558
The biotechnological process leading to the production of human insulin 559
Quality control of recombinant insulin 560
Modern insulins 560
Insulin formulations 562
Human growth hormone 563
Human growth hormone antagonists 563
Colony stimulating factors 563
Interferons and other cytokines 564
Production of peptide drugs by animal cell cultures 565
Introduction 565
Post-translational modification 565
Advantages of producing peptides using animal cell cultures 566
Disadvantages of producing peptides using animal cell cultures 566
Strategies for improving the production of peptides by animal cell cultures 566
An example of the production of a peptide drug by animal cell cultures in detail 567
Other rDNA drugs produced using animal cell culture 568
Antibodies and antibody therapy 569
What are antibodies? 569
Production of antibodies 570
Therapeutic antibodies in the BNF 570
Monoclonal antibodies 571
Introduction 571
Processes used for monoclonal antibody production 571
Types of MAb 573
Vaccines 575
Introduction 575
Types of vaccine 575
Advances in oral vaccination 576
Licensed vaccines 576
Applications of biotechnology to vaccine production 577
Other recombinant vaccines 578
Recent developments in vaccine production by biotechnology 578
  Page 554 

Proteins as drugs

Introduction

Proteins have been used successfully as drugs since the early twentieth century when insulin was first used to treat diabetes. The isolation of insulin was followed by the development of other protein drugs that were mainly extracted from animal tissues until the 1970s when smaller peptides, which had been discovered by extraction from animal tissues, became available via chemical synthesis. Table 27.1 lists some of these older protein drugs with their therapeutic actions.

Table 27.1 Old peptide and protein pharmaceuticals

image

In the case of small peptides with fewer than 20 amino acid residues, it is usually more economical to carry out chemical synthesis rather than to rely on biotechnology for production. Oxytocin with 9 amino acid residues is made synthetically. Calcitonin with 32 amino acid residues can be made synthetically but the rDNA product salcitonin (salmon calcitonin) is the main product in use. For peptides with more than 50 amino acid residues, it is unlikely that synthesis will ever compete with rDNA/biotechnological methods.

Disadvantages and advantages of protein drugs

After the difficulties of producing a drug using biotechnology have been overcome, there are other major difficulties in both registration and administration of the drug:

1. The drug may be contaminated by related biological materials such as DNA, viral protein and proteins from the cells used to produce the drug.
2. Analysis of macromolecules is difficult because of their complex structures. It would be very easy for small amounts of contaminating material to escape quality control procedures.
3. There are problems with the administration of peptide drugs since they have to be taken by injection. This limits market penetration since injection of drugs is acceptable for acute or life-threatening conditions but would not be popular as a long-term option for less serious conditions.
4. New drug delivery systems are being developed to produce nasal or pulmonary delivery, for example of calcitonin and insulin. However, no really successful system has been developed so far.
5. On the more positive side, about 68% of biotechnologically produced drugs reaching the stage of clinical trials are successful compared with <25% of drugs derived from chemical synthesis.
6. In the long term, peptide drugs will become more widely used therapeutic agents but at the moment the cost is prohibitive and also side effects of some of the drugs may be severe. The largest growth of licensed drugs in this area is in therapeutic monoclonal antibodies.

Production of peptide drugs by chemical synthesis

Automated peptide synthesis is quite routine now, although the expense of the reagents and difficulty of purification when more than 20 amino acids are incorporated into a peptide means that it is only viable for smaller peptides.

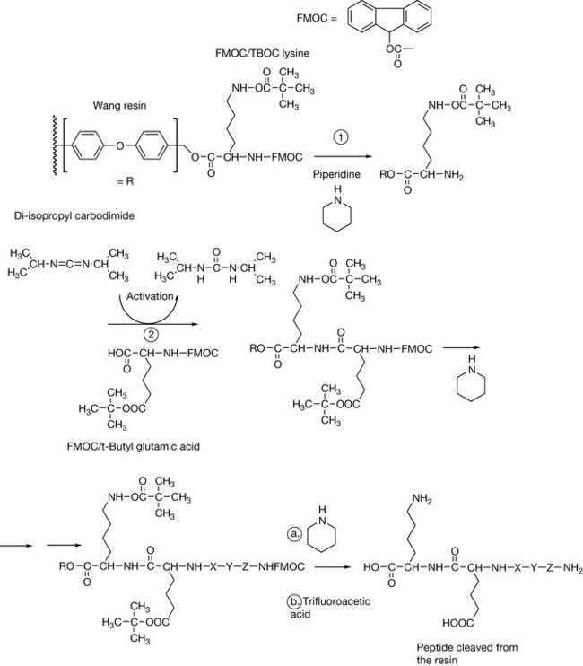
In order to synthesise a peptide, one end has to be protected so that the amino acid does not polymerise with itself. Also, if the side chain of the amino acid has an acidic or a basic group, it also has to be protected so that it does not become modified by the amino acid which is being added to extend the chain. The peptide is synthesised by protecting the carboxylic acid group of the first amino acid in the sequence by linking via esterification onto a resin (Fig. 27.1). The most commonly used resins these days are the Wang resins. The carboxylic acid ester is formed with a benzyl alcohol group which makes it a bit more labile than a link to an aliphatic alcohol. The amine group on each amino acid used in extending the chain is protected by a fluorenyloxy carbonyl (FMOC) group. This group can be removed in order to extend the chain using the base piperazine. If the amino acids contain side chains with either an acid or an amine group in them, e.g. lysine or glutamic acid, these groups are protected with either tertiary butyloxy carbonyl (tBOC) or by esterification with tertiary butanol, respectively. Importantly, the groups protecting the side chain are not removed by piperazine treatment and remain in place until the finished peptide is cleaved from the resin with trifluoroacetic acid which also removes the side chain protecting groups. As indicated above, this process is generally only viable for peptides with less than 20 amino acids. However, technology advances, and Roche have recently licensed Fuzeon™ which is a 36 amino acid synthetic peptide used in the treatment of AIDS. Figure 27.2 shows two examples of synthetic peptides used as drugs. Although these drugs are made by peptide synthesis methods, some of the amino acids have been modified so they are not entirely made up of naturally occurring amino acids. Octreotide is used to treat the symptoms produced by neuroendocrine tumours and also in reducing vomiting during palliative care. It is an analogue of somastatin, a tetradecapeptide which acts on the hypothalamus, inhibiting release of various hormones. It is used particularly to treat carcinoid tumour, which is a gastrointestinal tumour which secretes large amounts of serotonin. The tumour expresses somastatin receptors, and octreotide as a potent agonist for these receptors is effective in suppressing serotonin secretion. Lanreotide is another synthetic peptide which is used in treating carcinoid tumour and also thyroid tumours.

  Page 555 
image

Figure 27.1 Typical procedure for resin-based synthesis of a peptide.

image

Figure 27.2 Synthetic peptide drugs.

Buserelin is, again, a peptide-like structure with some natural and some unnatural amino acids in its structure. It is an agonist of gonadotropin releasing hormone and is used to treat prostate cancer (see Ch. 21) by suppressing the release of testosterone by the tumour. There are a number of other peptide analogues in the same category: goserelin, leuprorelin and triptorelin.

  Page 556 
  Page 557 

image Self Test 27.1

Draw the full structures of the synthetic peptide drugs lanreotide and goserelin.

Synthetic peptide drugs

Somatostatin analogues

Octreotide: Octreotide acetate injection 50 μg/mL, 100 μg/mL, 200 μg/mL and 500 μg/mL. Depot injection as a microsphere suspension 10, 20 and 30 mg/vial.
Lanreotide: Depot injection as microparticles 30 mg/vial, depot injection as gel 60 mg, 90 mg and 120 mg in prefilled syringe.

Gonadotrophin releasing hormone agonists

Buserelin: Injection 1 mg/mL, nasal spray 100 μg per metered dose.
Goserelin: Implants 3.6 mg and 10.8 mg (as acetate).
Leuprolein: Depot injection as microsphere powder 3.75 mg/vial and 11.25 mg/vial.
Triptorelin: Injection 4.2 mg/vial and 15 mg/vial. Depot injection 3.75 mg in prefilled syringe.

Production of protein and peptide drugs by genetically modified bacteria

Introduction

The technology for large-scale culture of bacteria is over 50 years old and bacteria can be cultured in stirred tank ‘reactors’ which may have a capacity of up to 10 000 litres. Escherichia coli is by far the most extensively used bacterium for the expression of rDNA. Human insulin (Humulin, Eli Lilly), the first biotechnologically produced peptide, was produced using transformed E. coli and this was quickly followed by the production of human growth hormone by this method.

Advantages of producing rDNA drugs in bacteria

1. Large-scale culture of bacteria is well established and the organisms are robust.
2. Bacteria multiply rapidly, reducing the danger of contamination by other organisms.
3. A rapid growth rate means a rapid product production.
4. Growth media for bacteria are simple and composed of cheap materials (e.g. molasses as a carbon source).
  Page 558 

Disadvantages of the production of rDNA drugs in bacteria

1. The gene product is unstable in the host and may be degraded by proteases within the cells.
2. Post-translational modifications of the gene product are not carried out by bacteria. Thus glycosylation, phosphorylation and expression of secondary structure may not match those of the natural product. This may affect the efficacy of the drug and increase its antigenicity.
3. The gene product often accumulates in the cell rather than being excreted into the growth medium and thus the bacterial cells may require disruption before the product can be harvested. This increases purification difficulties since bacteria contain many other proteins that have to be removed before the product can be used.

Strategies for improving the production of rDNA drugs by bacteria

1. The gene coding for the desired peptide may be fused with one coding for another peptide; such hybrid proteins usually precipitate within the cell. This removes the possibility of degradation by proteases and simplifies purification because the cell may be disrupted and the hybrid protein separated by gradient centrifugation. The desired peptide may then be released from the fusion protein.
2. A gene coding for the excretion of the product into the growth medium may be inserted into the bacteria. This means that the product is removed from contact with bacterial proteases and separated from the bulk of bacterial proteins.

An example of the production of a rDNA drug by E. coli

Insulin is secreted by the pancreatic β-cells and is required for the synthesis of the glucose storage polymer glycogen and is also required for the entry of glucose into tissues. Reduced glucose entry into tissues is the major effect of insulin deficiency and this produces an increased level of glucose into the circulation due to inhibition of glycogen biosynthesis. The effects of glucose deficiency in tissues are: accelerated protein catabolism, accelerated lipid metabolism and decreased lipid synthesis. Increased glucose levels in plasma lead to hyperosmolarity and dehydration and some complications may arise from the reactivity of glucose itself. The effects of insulin deficiency can be eliminated by insulin injection.

Diabetes is the third leading cause of death in the USA. Treatment of diabetes with insulin began in 1921 following its discovery at the University of Toronto and, as a consequence, rather than facing certain death diabetics were able to have a normal lifespan. The early insulin preparations were crude extracts from animal pancreas. They tended to promote allergic reaction due to the presence of additional proteins and required frequent injection because of their low purity. Purification steps were later introduced involving alcohol/acid precipitation of the protein and later crystallisation as the zinc salt (the basic crystal form involves six insulin molecules and two zinc atoms). Modern extracted insulins are subjected to a chromatographic step, gel-filtration, in order to remove allergenic contaminating proteins. Human insulin produced by transformed E. coli became available in 1982.

The structure of insulin

Insulin is a 50 amino acid protein which, unlike many peptides, is not glycosylated. It is produced naturally as three chains, the A, B and C chains. The C chain links the A and B chains and is removed by the body when the insulin is activated, leaving the A and B chains linked by two S–S bridges (Fig. 27.3). The metal ion zinc is also involved in stabilising the peptide, and insulin is stored in pancreatic β-cells as a hexamer complexed with two zinc atoms.

image

Figure 27.3 The structure of human insulin and animal insulins.

The need for biotechnologically produced insulins

There was a strong requirement for a good production process for insulin because:

  Page 559 
1. The number of diabetics is on the increase because it is safer for diabetic women to have children.
2. There are some problems with animal insulins. Since they are not identical to human insulins, they stimulate the immune system to produce antibodies to the insulin. This means that some of the insulin injected is destroyed by the body and the dosage has to be altered to compensate.
3. Animal insulins are contaminated with small amounts of related peptides such as glucagon and somastatin extracted from the pancreas.

The biotechnological process leading to the production of human insulin

In the process used by Lilly, insulin is produced in the form of proinsulin as a fusion protein where it is joined to the protein tryptophan synthase via a terminal methionine. The tryptophan synthase is then removed by cleavage with cyanogen bromide. The proinsulin is then converted to insulin via treatment with a mixture of the protease enzymes trypsin and carboxypeptidase.

1. Human insulin was produced from mRNA isolated from the pancreas. The mRNA was translated into the cDNA coding for insulin using reverse transcriptase (translates RNA back into DNA) and DNA polymerase (Fig. 27.4).
2. The DNA was inserted into a plasmid pBR322 by cutting it open with restriction enzymes and inserting the DNA coding for proinsulin. To make the insertion, linkers have to be added to fit the DNA to the ‘sticky’ ends of the cut plasmid. The pBR322 plasmid is often used in genetic engineering because it carries ampicillin and tetracycline resistance genes which enable selection of transformed bacteria. Only the transformed E. coli survive the antibiotic treatment. In order to maximise production of insulin by transformed E. coli a promoter gene is included in the plasmid. Since insulin is manufactured by the β-cells in the pancreas and no other cells in the body, in common with all other genes, it is suppressed until it is triggered by a signal indicating that insulin formation is required. Rather than insert the natural trigger mechanism for insulin into the genetically engineered plasmid, an alternative promotor gene (the tryptophan synthetase operon which is triggered by low tryptophan levels) is used. This is located next to the insulin gene (Fig. 27.5) so that by the time a stop sequence in the DNA sequence is reached a hybrid protein has been produced consisting of tryptophan synthetase joined onto proinsulin.
3. The plasmid was then introduced into E. coli bacteria (Fig. 27.6), and single cells from the culture were isolated and grown to form clones on agar plates. The clones producing insulin were then selected using radiolabelled insulin antibodies that can map the position of the insulin-producing colonies on the plate by using a blotting technique where insulin antibodies are attached to a membrane which is then overlaid onto the plated colonies.
4. The clones producing proinsulin/tryptophan synthase are grown on a large scale (10 000 litres) and the proinsulin/tryptophan synthase is harvested. After the hybrid protein has been produced, the tryptophan synthetase has to be removed. This is done chemically using cyanogen bromide which cleaves selectively between the nitrogen terminal end of methionine and any adjacent amino acid (tryptophan synthetase is linked to proinsulin via a methionine residue at its N-terminus) and the C chain is then enzymatically removed using a combination of carboxypeptidase and trypsin to yield insulin (Fig. 27.7).
  Page 560 
image

Figure 27.4 Production of cDNA coding for insulin.

image

Figure 27.5 Construction of a gene sequence for the expression of insulin in E. coli and its insertion into a plasmid.

image

Figure 27.6 Introduction of a plasmid coding for insulin in E. coli.

image

Figure 27.7 Removal of the C chain from proinsulin.

Quality control of recombinant insulin

Particularly stringent checks are needed to control the quality of the insulin produced because of the complexity of the molecule and the fact that it is derived from a biological system that could potentially be variable. High-performance liquid chromatography (HPLC) systems have to be capable of separating human insulin from the closely related animal insulins which differ from it by only one or two amino acids.

HPLC provides a highly specific technique which can distinguish between human insulin and animal insulins differing from it by one or two amino acids. In addition to making sure that the primary structure of the peptide is correct, the secondary structure of the peptide also has to be checked to ensure that it is correctly folded. This is carried out using a technique called circular dichroism which is related to the optical rotation technique used to determine the relative configuration (i.e. [+] or [−]) of small drug molecules. When the circular dichroism ‘fingerprint’ of a standard for insulin and a test sample of insulin are identical, they can be said to be arranged in three-dimensional space in the same way. The product is also quality controlled for biological activity by injection into a rabbit followed by the monitoring of blood glucose levels.

A major advance in simplifying quality control of biotechnologically produced drugs has been the development of electrospray mass spectrometry, which can measure exactly the molecular weight of a particular protein and also detect and characterise small amounts of contaminating proteins. Figure 27.8 shows the electrospray mass spectrum of human insulin.

image

Figure 27.8 Electrospray mass spectrum of human insulin showing multiply charged ions. Insulin contains 6 basic centres: 2 × histidine, 1 × arginine, 1 × lysine and terminal amine groups on the A and B chains hence the 6+ ion. 6 × 968.9 −6 (for the 6 added protons) = 5808 which is the MW of human insulin.

Modern insulins

Formulation types

Recent developments in insulin presentation have been reviewed.1 Initially, insulins were formulated in solution under acidic conditions in order to improve their stability. However, there was a tendency for the amide bond in the C-terminal asparagine residue to hydrolyse, with consequent loss of potency. As a result, the use of zinc to stabilise soluble formulations became common. The stability of such formulations is further enhanced by the presence of phenolic preservatives in the formulation which cause a change in the conformation of the zinc hexamers (Fig. 27.9) to render them even more stable.

Soluble insulins: contain a low concentration of zinc (0.01–0.04 mg/100 Units) and have a rapid action and relatively short duration (6–8 hours).
Isophane insulin: contains a low concentration of zinc (0.01–0.04 mg/100 Units) and is formulated with the protein protamine that forms a complex with zinc/insulin, producing a formulation with a slow onset and long duration of action (18–24 hours).
  Page 561 
Insulin zinc suspension (amorphous): contains a high concentration of zinc (0.12–0.25 mg/100 Units), producing a preparation with slow onset and a long duration of action (18–24 hours).
Insulin zinc suspension (crystalline): contains a high concentration of zinc (0.12–0.25 mg/100 Units) and the insulin is also in a crystalline form, producing a preparation with very slow onset and a very long duration of action (24–28 hours).
Biphasic insulin preparations: consist of mixtures of slow-acting insulin preparations and the rapid-action soluble insulin preparations.
image

Figure 27.9 Insulin hexamers.

Sources of insulin

Bovine insulin

Bovine insulin differs from human insulin by three amino acids (alanine for threonine A-chain 8, isoleucine for valine A-chain 10, alanine for threonine B-chain 30; see Fig. 27.3). Bovine insulin does promote antibody production to some extent and doses may need to be adjusted to compensate for this.

Porcine insulin

Porcine insulin differs from human insulin by one amino acid having alanine instead of threonine at B-chain 30 (see Fig. 27.3). The difference in structure from human insulin is not sufficient for antibody production to occur.

Human insulin types

Human insulin (emp) is produced by the enzymatic removal of an octapeptide chain, including the B-chain 30 alanine, from porcine insulin and its replacement by a chemically synthesised octapeptide.
Human insulin (prb) is produced as proinsulin in E. coli bacteria and then enzymatically and chemically treated to remove the C-chain.
Human insulin (pyr) is produced as proinsulin in yeast and the C-chain is enzymatically and chemically removed.
Human insulin (crb) is produced by expressing the A and B chain separately in E. coli and then combining them.

There has been some concern that human insulin is more likely to produce hypoglycaemic shock but, on the other hand, it is less likely to produce wasting away of fatty tissue at the injection site in comparison with animal insulins. Concern over the tendency of human insulin to produce hypoglycaemic shock has led to the production of analogues of human insulin that have fewer tendencies to cause this.

Human insulin analogues

Since insulin binds to its receptor as a monomer, any structural alteration which reduces insulin self-association results in more rapid action. Rapid-acting analogues were developed so that insulin could be injected immediately before a meal so that carbohydrate absorption and insulin action correlated more closely.

Rapid-acting analogues (reduced self-association)

Lisproinsulin has the amino acids lysine and proline substituted at B28 and B29, respectively. It is produced from recombinant human insulin by replacing part of the B-chain with a synthetic peptide. This results in an insulin analogue that has less tendency to self-associate into hexamers but that is still active as an insulin. Thus lisproinsulin has a rapid onset of action and a short duration of action. The overall effect is of slightly less tendency towards hypoglycaemia since preprandial glucose levels in blood tend to be higher.
Insulin Aspart is another rapid-acting insulin analogue produced from recombinant human insulin. In this case the B28, proline residue towards the terminus of the B chain is replaced by a negatively charged aspartate residue. The negative charge reduces the tendency of insulin to self-associate.
Glulisine (Apidira) has B3 valine substituted with lysine and B29 lysine substituted with aspartic acid. Substitution of hydrophobic valine with polar lysine reduces self association and the addition of a carboxyl containing amino acid next to the carboxy terminus also reduces self-association.
Long-acting insulins

In recent years, analogues of insulin with modified structures have been produced which have prolonged duration of action, thus reducing the need for frequent injection.

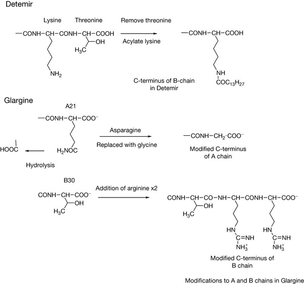
Insulin Detemir is an insulin analogue with increased duration of action mediated via increased binding to serum albumin. Serum albumin has a slow rate of clearance from the blood and thus acts as a reservoir for the insulin analogue. The affinity for albumin is promoted by removing the terminal (B30) threonine from insulin and acylating the B29 lysine with the fatty acid tetradecanoic acid (Fig. 27.10). The modified insulin thus has increased affinity for albumin which is a lipophilic protein. In addition, this analogue exhibits lowered immunoreactivity.
Insulin Glargine uses another approach promoting self-association of the insulin at physiological pH by changing its pI value. The pI value of a protein is the pH where it is neutral, i.e. the charge on the amine groups in the protein exactly balances the charge on the acidic groups, and at this pH a protein has a tendency to precipitate out of solution due to reduced solubility. Native insulin has a pI value of 5.7 and thus is negatively charged at physiological pH (7.4) and thus has no tendency to precipitate. Insulin Glargine has two arginine residues added at the C-terminus of the B-chain (Fig. 27.10). The addition of these two basic amino acids raises the pI value of the insulin to 6.7. This is sufficiently close to physiological pH for the insulin to precipitate following subcutaneous injection, forming a depot. In addition, asparagine at the C-terminus of the A chain is replaced by glycine, reducing the likelihood of chemical degradation which might cause cross-linking with the modified C-terminus of the B chain (Fig. 27.10). Insulin Glargine has a duration of action of 24 h.
image

Figure 27.10 Modifications in long-acting insulins.

Insulin formulations

Rapid acting

Purified bovine insulin: 100 units/mL.
Purified porcine insulin: 100 units/mL.
Human (pyr) insulin: 100 units/mL.
Human (prb) insulin: 100 units/mL.
Human (crb) insulin: 100 units/mL.
Human (crb) insulin for inhalation: 1 and 3 mg blister.
Insulin Aspart: 100 units/mL.
Insulin Glulisine: 100 units/mL.
Insulin Lispro: 100 units/mL.

Long/lntermediate acting

Insulin Detemir: 100 units/mL.
Insulin Glargine: 100 units/mL.

image Self Test 27.2

1. Write an equation for the hydrolysis of the amide bond in asparagine at the the C-terminus of the A chain in insulin.
2. One of the quality control checks used for insulin is to carry out a tryptic digest of insulin and examine the pattern of peptides produced. Trypsin is an enzyme that hydrolyses peptide bonds at the C-terminus side of lysine (K) or arginine (R). Using the structure of insulin shown in Fig. 27.3, draw the amino acid sequence of the peptide which would be released by trypsin from the C end of the B-chain of human insulin.
3. The basic amino acids are lysine (K), ariginine (R) and histidine (H). How many positive charges can insulin accommodate?
4. The acidic amino acids are aspartic acid (D) and glutamic acid (E). Taking an average pKa value of 3 for the acids and 8 for the bases, what is the approximate pI value for insulin (easier than it seems)?
Insulin zinc suspension. Bovine insulin: 100 units/mL.
Isophane insulin. Bovine, porcine or human insulins with protamine: 100 units/mL.
Protamine/zinc insulin: 100 units/mL.

Biphasic insulins

Biphasic Insulin Aspart: 30% insulin Aspart/70% insulin Aspart protamine 100 units/ml.
Biphasic insulin Lispro: (a) 25% insulin Lispro/75% insulin Lispro protamine. (b) 50% insulin Lispro/50% insulin Lispro protamine.
Isophane insulins: a range of insulins based on either human or porcine insulins is available in which protamine is added to produce between 50% and 85% complexation with the insulin.

Human growth hormone

Human growth hormone (HGH) is secreted by the pituitary gland and plays a key role in somatic growth through its effects on the metabolism of proteins, carbohydrates and lipids; it stimulates cell proliferation at growth plates in bones by direct binding to receptors in these tissues. It is present at high levels in children and also becomes elevated in response to exercise. Low levels of HGH are associated with obesity. HGH also increases calcium absorption by the gut, increases glomerular filtration and stimulates erythrocyte production by bone marrow. HGH is well established for the treatment of short stature in children. It is being tested in a number of other applications including: osteoporosis, renal failure, treatment of severe burns and wound healing. Intranasal delivery is being evaluated. Side effects are infrequent, although the safety of the product is not absolutely established.

HGH was originally extracted from the pituitary gland of human cadavers and the extracted product was found in some cases to produce the Creutzfeld-Jacob disease, which is caused by a prion protein. HGH is a 191 amino acid non-glycosylated protein. The amino acid sequences vary greatly between species and non-primate growth hormones have little activity in man. The commercial products are produced by transformed E. coli: Genotropin™ (Pharmacia), Humatrope™ (Lilly), Norditropin™ (Novo Nordisk), NutropinAq™ (Ipsen) and Zomacton™ (Ferring) or mammalian cultures Saizen™ (Serono). All of the commercial products are chemically equivalent.

Human growth hormone antagonists

Pegvisomant is a mutated form of HGH.2,3 The protein is altered so that it functions as an antagonist of HGH by binding strongly at one binding site of the HGH receptor but only weakly at the other binding site (Figs 27.11, 27.12).

image

Figure 27.11 Reversible and irreversible PEGylation.

image

Figure 27.12 Binding of Pegvisomant.

In order to achieve the reduced binding to the HGH receptor, 8 amino acids at the binding site were altered. In addition, the protein is PEGylated at 4-6 lysine residues (Box 27.1). One of the amino acids replaced at binding site 1 was a lysine residue. This was carried out in order to ensure that the presence of PEG did not reduce the binding of the protein to the receptor to a great extent. Additionally, a lysine amino acid was introduced at binding site 2, thus increasing the likelihood of PEGylation at this site with consequent reduced binding affinity. The presence of PEG at the other positions reduces the overall binding affinity of the protein but greatly increases in circulating half-life compared with HGH. Pegvisomant thus functions as an antagonist of HGH and is used to treat acromegaly.

Box 27.1 PEGylation

Reaction of proteins with polyethylene glycol (PEGylation) is of increasing importance for manipulating the pharmacokinetics of therapeutic proteins.2 The polyethylene glycol chains are largely linear polymers around 12 kDa; however, the use of branched chains is becoming more common. PEG chains are very bulky because of the water associating with them and thus shield sites of proteins which might cause immunogenic reaction or be susceptible to proteolytic degradation. PEGylation generally results in increased circulating half-life for a therapeutic protein. The disadvantage of PEGylation is that it can reduce the activity of the therapeutic protein by preventing it binding efficiently to its site of action. The PEGs used are usually methylated at one end to avoid producing reagents reacting at both ends which would crosslink the protein. The PEGs can either be linked by a strong covalent bond which is not easily reversible, e.g. C–N, or via a linkage such as carbamate which is reversible (Fig. 27.11). Reversible linkages are used where the presence of the PEG chain reduces the activity of the protein. These chains are removed by enzymatic hydrolysis in the body. Lysine residues are a popular target for modification because they are both reactive and common in proteins.

Colony stimulating factors

Granulocyte colony stimulating factor (G-CSF) is a haemopoietic growth factor which is involved in promoting the differentiation of stem cells formed in the bone marrow into granulocytes (neutrophils, basophils, eosinophils) which are responsible for killing bacteria in the blood. It is used to rectify myelosuppression in patients undergoing cancer chemotherapy where white cells in the blood are depleted by the chemotherapeutic agent. The protein occurs either as a 174 or a 180 amino acid protein. The commercial product filgrastim (Neupogen™) is produced in non-glycosylated form by transformed E. coli. Pegfilgrastim is a PEGylated version of the protein which has an increased circulating half-life, reducing the necessity for daily injections. Lenograstim is another form of G-CSF produced by CHO cells; unlike filgrastim it is glycosylated and is slightly more potent.

  Page 564 

C-GSF in the BNF

Filgrastim 300 μg/mL.
Lenograstim 105 or 263 μg/mL.
Pegfilgrastim 10 mg/mL.

Interferons and other cytokines

Interferons (IFNs) are a group of inducible cytokines which have antiviral properties. IFN-α and -β are inducible in several cells while IFN-γ is produced by T lymphocytes.

α-Interferon

Recombinant α-interferon2a (Roferon-A, Roche) is produced in the form of a 165 amino acid protein that is unglycosylated. The drug is used to treat Kaposi’s sarcoma and also hepatitis B and hepatitis C. Interferon α2a (IntronA, Schering-Plough) has similar indications. It is produced by genetically transformed E. coli. It is also produced in a PEGylated form in order to increase its circulating half-life.

  Page 565 

β-Interferon

Interferon-β1b is an 18.5 kDa protein that is produced commercially using genetically transformed E. coli. The gene inserted into the E. coli was originally isolated from human fibroblasts and was engineered so that a cysteine residue present at position 17 was replaced by a serine residue which improves its stability during synthesis in E. coli. The commercial product, Betaferon® (Schering), is predominantly used for the treatment of relapsing-remitting multiple sclerosis. The discovery of its use in MS therapy was based on the unproven theory that MS might have a viral aetiology. Interferon β1a is produced by CHO cells (Avonex®, Biogen). It is identical to human interferon β and has similar indications to betaferon. Rebif™ is a differently formulated version of interferon β1a.

γ-Interferon

γ-Interferon is produced in the form a of a 140 amino acid single-chain polypeptide γ-Interferon1b. It occurs naturally in a glycosylated form but the commercial product is unglycosylated and is expressed in E. coli. It is used in the treatment of chronic granulomatous disease and severe malignant osteoporosis where it is believed to increase the activity of phagocytic cells.

Interleukin-2

Interleukin-2 is a 15.5 kDa protein which stimulates the production of T lymphocytes. The protein occurs naturally in glycosylated form but the unglycosylated form is also active. The commercial product is produced in the unglycosylated form by genetically transformed E. coli. The drug is used to treat metastatic renal cell carcinoma.

Cytokine preparations in the BNF

α-interferon (IntronA™, Roferon-A™, Viraferon™): preparations between 6 and 50 million units/mL.
Pegylated α-interferon (Pegasys™, Pegintron™, ViraferonPeg™): preparations between 50 and 180 micrograms.
β-interferon (Avonex™, Rebif™, Betaferon™): preparations between 22 and 300 micrograms.
γ-interferon (Immukin®, Boehringer): 200 micrograms/mL.
Interleukin-2 (Proleukin™): 18-million unit vial.

Production of peptide drugs by animal cell cultures

Introduction

Animal cells are capable of producing peptides which are closer to naturally occurring human peptides, i.e. they are capable of carrying out post-translational modifications of proteins such as glycosylation, phosphorylation and alterations in the tertiary structure of the protein. It is not always necessary to insert rDNA into animal cells to get them to express a required protein. A line of cells in culture may naturally produce the protein or the cells may be stimulated to produce the protein, e.g. using a virus. This means that the techniques to stimulate peptide production by animal cells are more diverse than those used for production using E. coli.

Post-translational modification

In animals, once the protein has been synthesised within the endoplasmic reticulum, it must be folded correctly, sorted and finally transported. Proteins that are secreted by a cell or are incorporated into the cell membrane undergo five principal types of modification: the formation of disulphide bonds, proper folding of the protein, addition and modification of carbohydrates, specific proteolytic cleavages, and formation of multiple chain proteins. Proteins that have not been assembled properly are likely to be enzymatically degraded. In bacterial cells, the formation of disulphide bonds may not occur correctly. In a protein containing several cysteine residues a number of permutations of S–S bond formation are possible and a mammalian cell production system is more likely to produce the correct combination of S–S bonds. It is possible to refold the protein post-production but there is no guarantee that the correctly folded protein can be easily produced. Often, the most critical modification, which mammalian cells are required for, in order to obtain full biological activity for a biotechnologically produced protein, is the post-translational glycosylation of a protein. This is not always critical for the biological activity of the protein but, where it is required, the protein must be expressed in mammalian cells. The sugar chains on proteins are fairly small, up to ca. 15 monosaccharide units in the most complex cases. Such short chains of sugar units are known as oligosaccharides. The glycoside chains are either O-linked, linked to serine of threonine side chains, or N-linked to the amide nitrogen of asparagine. There are principally eight sugars involved in building the oligosaccharide chains. These are: glucose, galactose, mannose, fucose, xylose, N-acetylglucosamine, N-acetylgalactosamine and neuramic (sialic) acid (Fig. 27.13). Small variations in such chains can produce large differences in the way that the body responds to a protein. For instance, variation in a single residue in a glycoside chain within the glycoproteins in the membrane of erythrocytes determines blood group. Thus the immune system of people who cannot synthesise the A or B antigens will destroy erythrocytes which contain the antigen which is not present in their cells. People with the O blood group can safely donate to people with A and B antigens since the O antigen lacks the extra sugar present in the A and B antigens and thus does not trigger an immune response.

  Page 566 
image

Figure 27.13 Monosaccharides commonly found in oligosaccharide chains in glycoproteins and glycosidic determinants of blood groups.

For biotechnologically produced mammalian proteins such as erythropoietin and tissue plasminogen activating factor the correct glycosylation pattern is essential for activity.

Advantages of producing peptides using animal cell cultures

1. Post-translational modifications of the product are likely to be made, thus resulting in a final product similar to the natural human peptide. The means that the peptide will have the correct secondary and tertiary structure and be glycosylated and phosphorylated in the same or in a similar manner to the natural material. These factors determine the location, antigenicity and longevity of the drug in vivo.
2. Animal cell cultures are less likely to degrade the peptide after it has been produced.

Disadvantages of producing peptides using animal cell cultures

1. The cultures are slow growing and can only be cultured at low cell density.
2. The growth medium requires expensive vitamins and co-factors as well as serum that is difficult to standardise.
3. The complexity of the growth medium and the slow growth of the cells render contamination with microorganisms more likely.
4. Animal cells are fragile and cannot be readily cultured in stirred fermentors that produce high shear stresses.
5. Some animal cells are anchorage dependent and have to be grown on surfaces, thus limiting the type of system that can be used to grow them.

Strategies for improving the production of peptides by animal cell cultures

1. Recent developments have produced higher-density cultures and have simplified the growth media.
2. New types of fermentor have been developed such as the air lift fermentor where a stream of air effects mixing and aeration or systems where the cells are immobilised in foams and the growth medium is allowed to percolate through, removing the product from the cell matrix.
3. Anchorage-dependent cells may be grown in suspension on microcarrier beads of diameter 150–200 μm.
  Page 567 

An example of the production of a peptide drug by animal cell cultures in detail

Introduction

Erythropoietin (EPO) is produced mainly by the kidneys and acts on stem cells in the bone marrow, stimulating mitosis of erythroid progenitor cells (Fig. 27.14). It increases red cell production in response to reduced oxygen delivery to the kidney. Thus administration of the drug can correct anaemia caused by EPO deficiency such as occurs in chronic renal failure (CRF). There are many causes of CRF and to date the only means of correcting it are either transplantation or dialysis. A major side effect of the disease is anaemia that is due to EPO deficiency. This is caused in part by dialysis. Prior to the advent of biotechnologically produced EPO the only means of treating the anaemia associated with CRF were frequent blood transfusions or the administration of anabolic steroids; both methods of treatment have attendant risks and side effects. EPO is highly effective in correcting anaemia and eliminates the need for transfusions. The therapeutic goal is a haematocrit (packed red cell volume) of >0.3. Side effects are generally not serious but may include: exacerbation of hypertension; extracorporeal blood clotting; iron deficiency; seizures; flulike syndromes and headache. The most commonly reported side effect is exacerbation of hypertension and this may be treated with antihypertensive drugs. EPO is an ideal drug of abuse in sport since it raises red blood cell levels yet is very difficult to distinguish from the EPO that is naturally present. However, variations exist in the glycosylation pattern between the natural and the biotechnologically produced drug and these can be used for detection of this form of drug abuse.

image

Figure 27.14 The action of EPO in stimulating red blood cell production.

The structure of EPO

EPO is a 166 amino acid glycoprotein that is heavily glycosylated (almost 50% of the molecular weight [MW] is due to glycosylation) and it has a molecular weight of 34 kDa. Glycosylation is essential for biological activity, and removal of terminal sialic residues from the glycan chains in the protein greatly reduces its half-life in the body. Animal cells have to be used in the production process in order to make a product with the correct glycosylation pattern.

The need for biotechnologically produced EPO

1. The levels of human EPO in blood and urine are too low for it to be obtained from these sources.
2. Given the complications of blood transfusions as a means of treating anaemia, despite its cost, EPO is a much better alternative.

The biotechnological process leading to EPO production

1. The first step was to characterise the primary structure of EPO. This enabled the design of DNA oligonucleotide probes to pick out the DNA sequences which could be linked to the amino acid sequences present in the gene for EPO. The DNA coding for EPO was isolated from human liver DNA using radiolabelled oligonucleotide probes in order to detect the fraction containing the EPO gene. The genetic material was then broken down into small pieces using restriction enzymes and the pieces were amplified by incorporation into bacteriophage which were then cultured with E. coli (Fig. 27.15) and finally the EPO gene was isolated using oligonucleotide probes.
2. An expression vector was designed incorporating: a promoter sequence (cf. insulin production), the isolated EPO gene and the gene for the enzyme dihydrofolate reductase (DHFR) (Fig. 27.16).
3. The vector was then used to transform a culture of Chinese hamster ovary (CHO) cells (Fig. 27.17). The dihydrofolate reductase gene enables selection of the transformed cells since the untransformed CHO cells lack this gene and thus cannot grow in a growth medium lacking certain amino acids. High-yielding cells were selected and cloned and are the commercial source of the drug.
image

Figure 27.15 Isolation of the gene coding for EPO from human liver.

image

Figure 27.16 Gene sequence used for EPO expression.

image

Figure 27.17 Production of EPO by CHO cells.

A commercial supply of EPO was first produced by Amgen. The two products sold in the UK are Eprex® (Jannsen-Cilag) and NeoRecormon (Roche). These products are almost identical in structure, having the same amino acid sequence but very slight differences in glycosylation pattern. A version of EPO which is more extensively glycosylated called Darbepoetin is also sold by Amgen. The increased level of glycosylation gives this version of EPO a longer circulating half-life which means that it does not have to be administered as frequently.

  Page 568 

Other rDNA drugs produced using animal cell culture

Tissue plasminogen activator (TPA)

Tissue plasminogen activator (TPA) is a 527 amino acid serine protease glycoprotein with a molecular weight of 64 kDa. About 8% of the MW is due to carbohydrate. The gene has been expressed in both E. coli and CHO cells. The commercial products Alteplase® (Genentech) and Tenecteplase® (Boehringer Ingleheim) are produced by CHO cells. Related products include Reteplase® (Roche) which is expressed in E. coli and only contains part of the TPA structure but is equally effective. Different products may have different glycosylation patterns but such variations do not greatly affect biological activity.

TPA is the most important physiological activator of plasminogen, the clot-dissolving enzyme. It is locally released from blood vessels and binds to the fibrin clot with simultaneous binding of plasminogen, and this results in the digestion of the clot.

1. TPA is used in acute myocardial infarction (MI) and coronary thrombosis. With rapid intervention, it has been shown to reduce hospital 21-day mortality by 50% when used to treat MI.
2. TPA is also under clinical trials for the treatment of unstable angina, ischaemic stroke, acute stroke and pulmonary embolism. A major competitor of TPA is streptokinase, which is a bacterial enzyme. This compound is cheaper and may be more effective than TPA in some respects although there is a higher risk of allergenic response.

There is a danger of haemorrhage although contraindications are well established as being: a history of cerebrovascular accident, internal bleeding, and severe uncontrolled hypertension. TPAs with varying glycosylation patterns are being produced in order to try to reduce some of the side effects of the drug and in order to increase the plasma half-life of the drug so that it can be administered as a bolus injection rather than by continuous infusion.

  Page 569 

Factor VIII, factor VIIa and factor IX

Factor VIII is a complex of proteins involved in the blood-clotting cascade that results in the production of fibrin. A genetic abnormality resulting in a lack of factor VIII production results in haemophilia. The protein prepared by fractionation from human plasma is still extensively used but recombinant forms are also now available. The most important elements in the structure of factor VIII are two protein chains of 80 kDa and 90 kDa which are glycosylated to various extents. The two commercially available products are: Recombinate® (Baxter Health Care) which is prepared using genetically transformed CHO cells, and Kogenate® (Bayer/Miles) which is prepared using transformed baby hamster kidney cells. Recombinant versions of the blood-clotting proteins factor VIIa and factor IX are now also available.

Etanercept

Etanercept (Enbrel™) is used in the treatment of rheumatoid and psoriatic arthritis. It is produced using CHO cells. The protein acts as a soluble version of the tumour necrosis factor (TNF-α) receptor, TNF is involved in the pathology of rheumatoid arthritis (RA) and psoriasis. The soluble receptor binds to TNF before it can bind to TNF receptors on the inflammatory cells within the body, thus interrupting the inflammatory cascade.

Anakinra

Anakinra (Kineret™) provides another strategy for the treatment of RA. It is a recombinant version of the native interleukin-1 (IL) receptor antagonist IL-1Ra. IL-1 may have an even greater role than TNF-α in promoting RA through inhibiting proteoglycan synthesis and stimulating bone resorption. There is evidence to suggest that an imbalance between IL-1 and IL-1Ra exists in the rheumatic joint. Recombinant IL-1Ra differs from native IL-1Ra in that it has a methionine residue at its N-terminus.

Growth factors

Growth factors are involved in tissue repair (Box 27.2) and are a potentially exciting class of drugs. They include: epidermal growth factor (EGF); fibroblast growth factor (FGF); platelet derived growth factor (PDGF); transforming growth factor (TGF) and insulin like growth factor (IGF).

Box 27.2

The following events occur in response to injury of tissue:

Inflammatory cells rush to the site of the wound; platelets are deposited and blood coagulates and forms a temporary covering (PDGF).
Granulocytes, monocytes and lymphocytes next appear to scavenge damaged tissues.
Fibroblasts appear and begin to produce collagen and connective fibres (TGF, EGF). Simultaneously, the area becomes revascularised (FGF).
Epithelial cells at the edge of the wound begin to fill in the area under the scab and finally the new epidermis is formed and the wound is healed (EGF).

The only agent that has made it to the market is PDGF, which produces a chemotactic response in fibroblasts and smooth muscle, is an attractant for inflammatory cells and induces collagen synthesis. PDGF is available as a gel Regranex® for use in the treatment of diabetic foot ulcers where it promotes wound healing.

Antibodies and antibody therapy

What are antibodies?

Antibodies are immunoglobulin proteins, composed of four protein chains, two heavy chains (MW >53 000) and two light chains (MW ca. 23 000) linked together by S–S bridges. They constitute 20% of the proteins circulating in the blood. Antibodies are Y-shaped molecules having a constant region, which classifies the antibody as being of the IgA, IgD, IgE, IgG or IgM type (the effector domain) and a variable or idiotype region which is responsible for recognition and binding to a specific antigen (Fig. 27.18). The idiotype region is within the arms of the Y and an antigen binds in a lock-and-key fashion to the sites at the end of each arm. An antigen tagged in this way is recognised as foreign by the immune system and destroyed. The constant region determines the function carried out by the antibody as detailed below. Antibodies are produced by B lymphocytes and there are five types:

  Page 570 
IgG has the highest circulating levels (12 mg/mL in serum) and is involved in triggering the binding of the complement system of enzymes to an antigen and triggering macrophage activity against the antigen, resulting in its destruction. The levels of IgG rise greatly in response to antigenic challenge.
IgA is produced in tears and mucosal coatings. It mediates mucosal immunity by binding to antigens entering the mucosa. It has the second highest circulating levels (2 mg/mL) and is important for the effectiveness of oral vaccination. It can be transported from the serum into the mucosal layers.
IgM is present in serum at 1 mg/mL. It binds very strongly to antigens and is the first antibody produced in an antigenic response. It triggers complement binding and macrophage activity.
IgD, the role of which has not been completely elucidated, it is present only in trace levels in serum (0.03 mg/mL). It may be involved in the recognition of antigens by B cells.
IgE is present at very low levels (0.0003 mg/mL) in serum but is found in higher amounts in tissues. IgE triggers histamine release from basinophil and mast cells and, if released too readily, triggers allergic reactions such as asthma and hay fever.
image

Figure 27.18 The structure of an antibody and some antibody fragments.

Production of antibodies

Antibodies are produced by B lymphocytes which circulate in the blood stream. The B cells are responsible for recognising antigens and tagging them so that they can be destroyed by white blood cells and by T lymphocytes.

Antibodies contain a number of discrete regions (Fig. 27.18), each of which is composed of about 110 amino acids, and the biotechnology of antibody production has developed through expression of parts of the antibody in various different cell systems. The various regions of importance are summarised in Table 27.2.

Table 27.2 Antibody regions

Region Function Comments
VL Variable region responsible for antigen recognition at the N-terminus of the light chain Composed of four β-pleated sheets joined by 3 loops referred to as hypervariable loops or complementarity determining regions
Two types of light chain are coded for by κ or λ genes
About 60% of human antibodies contain κ chains
VH Variable region responsible for antigen recognition at the N-terminus of the heavy chain As for the light chain composed of four β-pleated shoots joined by 3 loops
VH displays even greater diversity VL
CL Single constant region of the light chain Invariant part of the κ or λ gene sequence
image First of three constant regions within the heavy chain above the hinge region  
image Second of the constant regions of the heavy chain
Contains glycosylation sites with sugar chains N-linked to asparagine residues
Glycosylation pattern may be important for the structural integrity of the antibody and for its effector functions such as recruitment of immune cells and complement activation
image Third constant region of the heavy chain containing the C-terminus region Contains the effector binding sites
VL VH
CL image
The Fab′ fragment is half of the antigen recognition site plus part of the constant chain Has one antigen binding site
VL VH The ScFV fragment consisting of the variable regions of the light and heavy chains Retains the full binding capacity of the antibody but lacks the effector functions
Joined together with a linker sequence

Therapeutic antibodies in the BNF

Antisera

Antibodies can be seen immediately to represent a method for therapeutic intervention since in cases of infection they can cause the body to recognise the infective agent and destroy it. Perhaps their use is most familiar in the dramatic circumstances of the use of antisera against snakebite. In this case, a fairly crude preparation containing antibodies prepared from the serum of animals exposed to the toxin is used to trigger the body into rapidly recognising and destroying the toxin. Such antisera are available for treatment of serious infectious diseases such as botulism and diphtheria. The use of antibodies is distinct from vaccination, which is discussed later in this chapter, in that the treatment is not dependent on stimulation of B cells to produce antibodies but immediately provides the body with a means of recognising the infection. They are only used in serious conditions since the antisera are produced in animals and have a high potential for triggering an allergic reaction to the animal protein.

  Page 571 

Immunoglobulins

The use of partially fractionated human immunoglobulins (IgGs) represents a more refined approach to passive vaccination than the use of antisera. Normal immunoglobulin is harvested from pooled serum and confers immunity to a number of common infectious diseases, most prominently hepatitis A, measles and rubella. For many years it was the only source of protection against hepatitis A before the advent of a vaccine against the virus. More specific IgGs are prepared from pooled serum from selected donors with a high level of an antibody against a particular condition. More specific IgGs are available against hepatitis B, tetanus, rabies, tetanus, cytomegalovirus and varicella-zoster. Prophylaxis using IgGs is particularly effective because IgGs have a circulating half-life of several weeks. Of course, vaccination offers much longer-term protection.

Monoclonal antibodies

Introduction

Since antibodies are able to recognise and modulate the activity of other proteins within the body, they have great therapeutic potential. In 1975, Kohler and Milstein in a remarkable experiment showed that antibody-producing B lymphocytes could be fused with malignant rapidly proliferating myeloma cells (i.e. which contain oncogenes conferring immortality) and the hybrid myeloma cells or hybridomas could both express lymphocyte-specific antibodies and continue to proliferate. This provided the biotechnological basis for producing antibodies on a large scale.

Processes used for monoclonal antibody production (e.g. production of an antibody to tumour necrosis factor)

In the original experiment leading to monoclonal antibody (MAb) production the antibody-producing B lymphocytes were obtained by injecting a rabbit or mouse with the appropriate antigen (Fig. 27.19). For example, an antibody to tumour necrosis factor, a peptide involved in the autoimmune response, might be required. The spleen of the animal was removed and lymphocytes isolated from the spleen were fused with mouse myeloma cells by treatment with polyethylene glycol or Sendai virus.

image

Figure 27.19 Process used for monoclonal antibody production.

The hybridoma cells were selected by poisoning any remaining unfused myeloma cells with aminopterin, which selectively blocked their DNA synthesis. The hybridoma cells survived the antibiotic treatment and single cells were then grown into clones and these clones were screened for production of the required antibody (a range of antibodies will be expressed by the mixture of lymphocytes originally isolated). In the example shown, clone 1 is selected as the one producing TNF antibodies. MAbs could then be produced on a large scale in air-lift fermentors of up to 10 000 litres. This volume of culture can produce up to 1 kg of MAb. Now the methodology for producing MAbs is more variable and in part depends on the application for which the antibody is required. In recent years there has been a move away from this type of production process towards the genetic engineering processes, described below, where the monoclonal antibodies are produced in mammalian cell lines such as CHO cells.4

Chimaeric antibodies

Pure murine antibodies produced as described above are allergenic in humans and thus are either toxic or have reduced half-lives in the body. In order to reduce these effects, chimaeric antibodies are produced where the constant regions of the heavy and light chains are replaced by human protein. The genes for all the human immunoglobulin subtypes have been cloned and this allows the replacement of all the genetic material coding for a murine antibody, apart from that coding for the variable region, with DNA coding for human protein. These hybrid genes can be expressed in a number of different cell cultures including mammalian and insect cell cultures. The most complete replacement of murine protein with human protein is in the humanised antibodies, where all the genetic material coding for the antibody is replaced with human gene sequence apart from the hypervariable regions. The disadvantage of replacing all but the hypervariable regions with human protein is that some binding specificity may be lost since the conformation of the β-pleated sheets present in the variable region of the original murine antibody may be optimal for binding of the hypervariable regions to the antigen. One way around this is to introduce the gene coding for human IgG into mouse embryos. When the mice developed from these embryos are challenged with an antigen, they produce B cells secreting fully human antibodies. These B cells may be isolated and fused with myeloma cells, thus producing human monoclonal antibodies.

  Page 572 

Phage display technology

Phage display technology and related techniques such as ribosomal and yeast display systems form the basis of modern monoclonal antibody production.5-9 Bacteriophages are viruses that infect a range of bacteria. They only have 11 genes. Figure 27.20 shows a schematic diagram of a phage. The genetic material which is to be expressed as a protein is incorporated into the phage genetic material. A typical sequence involved in genetic engineering of a monoclonal antibody is as follows:

1. Inoculate a mouse with an antigen, e.g. the protein of a mutant receptor expressed on the surface of a cancer cell. Repeat the inoculation if necessary.
2. Isolate the spleen of the mouse and then the B cells from the spleen. Purify the mRNA from the B cells. Antibodies are assembled from several distinct proteins coded by separate mRNA molecules.
3. Produce a library of cDNA molecules using reverse transcriptase.
4. The cDNA molecules are then specifically amplified using primers which are specific for the VH and VL regions of the antibody.
5. A repertoire of VH/VL cDNAs (ScFvs) is produced by separating the cDNA strands and using a linking sequence which ligates to the ends of the DNA coding for VH and VL single chains. The linked VH/VL cDNA is then amplified by PCR.
6. The VH/VL cDNA is ligated into the phagemid vector which contains DNA coding for the pIII coat protein. The vector is then introduced into E. coli. The transformed bacterial cells are cultured and then infected with helper phage, resulting in incorporation of the phagemid vector into the phage DNA.
7. The transformed phages then express the linked VH and VL chains on the surface of the phage (Fig. 27.20) linked in the form of a fusion protein with the pIII coat protein. The surface expression of the ScFv does not compromise the ability of phage to replicate since the pIII coat protein is a minor coat protein when compared with the pVIII coat protein and not all of the pIII proteins are fused with the ScFv because there is also non-phagemid DNA in the phage which codes for pIII.
8. The surface expression of the ScFv is crucial so that the phage can be easily ‘panned’ using immobilised antigen. Phage expressing high-affinity antigens can be thus isolated. Sometimes, antigen is immobilised on magnetic beads to facilitate isolation of ScFv expressing phage. The clones expressing the high-affinity antibody variable regions can then be grown from single phage. The selection process can then be repeated if required. The DNA coding for a high-affinity ScFv can then be isolated from the phage and introduced into an expression vector which includes DNA coding for the IgG constant region, a gene to enable selection of successfully transfected cells, e.g. the dihydrofolate reductase gene and a promoter gene to drive expression of the humanised antibody. The expression vector is introduced into a suitable cell line such as CHO cells or murine lymphoid cell lines.
  Page 573 
image

Figure 27.20 Phage display of ScFv.

Fab′ fragments

Fab′ fragments lack the Fc chain and thus do not stimulate the immune response in the same way as antibodies which have the Fc chain to act as an effector. In some cases binding affinity with a lack of immune response is an advantage, e.g. where it is preferable to block a receptor protein on cell surface but not stimulate the immune system to destroy the cell. Expression of the smaller Fab′ fragments is much simpler than the expression of a full antibody. These fragments can be produced using phage display technology.

Types of MAb

There are currently 18 monoclonal antibodies which have been licensed for therapeutic use and this therapeutic category is expanding rapidly. The majority of these antibodies have been produced by recombinant DNA technology such as the phage display system but there are three which are produced by the more old-fashioned murine antibody technology produced in hybridomas. There is currently quite a number of Fab′ fragments in clinical trials.

Monoclonal antibodies targeted against receptor proteins

The most successful application of MAbs is in the targeting of receptor proteins on particular cell types. The result of the binding of the MAb may be blocking of the cell’s function or destruction of the cell.

Anticancer antibodies

Rituximab (MabThera™) targets CD20 receptors on B lymphocytes causing their lysis through generation of an immune response. It is used in the treatment of chemotherapy resistant advanced follicular lymphoma. It is a chimaeric antibody containing murine light and heavy chain variable sequences and human constant region sequences. It is produced by genetically transformed CHO cells.
Cetuximab (Ebritux™) is used in the treatment of advanced colorectal cancer. It is a chimaeric antibody produced in a murine myeloma cell line.
Alemtuzumab (MabCampath™) is also used to target the CDw52 receptor (CAMPATH1 antigen) on B lymphocytes, thus reducing their numbers in cases of chronic lymphocytic leukaemia. It is a humanised antibody where the some of the murine protein in the variable region has been replaced by human protein. It is produced by genetically transformed CHO cells.
Trastuzumab (Herceptin™) blocks the human growth factor 2 (HER-2) receptor which is overexpressed in about 25% of breast cancer patients. The HER-2 receptor also occurs in other tumours such as ovarian and gastric cancers and is believed to be the cause of the tumour as well as an indicator of poor prognosis. Trastuzumab is the first example of a drug which has been found to be active against solid tumours. Trastuzumab is a humanised murine MAb expressed in CHO cells. It blocks the ability of the HER2 receptor to initiate growth signals and may also cause cell lysis through initiation of complement activity and consequent recruitment of cytotoxic cells. It is used in conjunction with conventional chemotherapy.
Bevacizumab (Avastin™) is a humanised antibody produced in CHO cells used as first-line treatment for patients with colorectal cancer.
Panitumumab (Vectibix™) is used in the treatment of epidermal growth factor expressing metastatic colorectal carcinoma. This is the first fully human antibody.

Immunosuppressive antibodies

Graft rejection occurs when organs are transplanted between humans, e.g. kidney transplant, or between animals and humans, and the immune system of the recipient of the transplant recognises the transplanted organ as being antigenic. The immune response can be suppressed by conventional drugs and a combination of ciclosporin and corticosteroids is used to prevent graft rejection. However, ciclosporin is quite toxic to the kidney. Another strategy is to target the immune response more directly. However, in summary, a major cause of rejection is that the body directs cytotoxic T lymphocytes against the transplanted tissue in order to destroy it. The cytotoxic T-lymphocyte response is triggered by another type of T cell called a T-helper lymphocyte. The T-helper cells are responsible for immune surveillance and they have several receptors on their surfaces which are sensitive to antigens. These receptors are known as cell differentiation clusters (CDs). One particular receptor on the surface of the T-helper cells, the CD3 receptor, is a useful target for reducing the T-helper cell response (which in turn triggers the cytotoxic T cells). The specificity of monoclonal antibodies means that they can be directed to very specifically bind to a particular antigen, and in order to modulate the immune response in transplant rejection the monoclonal antibody OKT3 was produced which binds the CD3 receptor. OKT3 is a first-generation MAb and was produced using hybridoma cells which were screened for OKT3 antibody production by measuring the strength of binding of the antibodies they were producing to mature T-helper cells. High-yielding hybridoma clones were cultured in the peritoneal cavities of mice, which resulted in a very high-yielding system where the OKT3 is produced at a level of 12–15 mg/mL. OKT3 is purely based on murine protein and as a consequence there is the risk of human anti-mouse antibody (HAMA) formation in patients. The consequence of the administration of OKT3 is that the levels of T-helper cells in the body are reduced through the immune system removing them from the circulation. There are, of course, side effects since the agent compromises the natural immune response, but in the specific case of kidney transplant the benefits can outweigh the side effects because the effects of ciclosporin on the kidney cause some confusion since it is difficult to tell whether a poorly functioning transplanted kidney results from rejection or is due to the toxicity of ciclosporin. The main indications of the drug are in the early stages after transplant or as rescue therapy after standard immunosuppressant therapy has failed to prevent rejection. The risk of HAMA has meant that the use of OKT3 has declined. Two antibodies with similar indications have recently been licensed. Darlizumab (Zenopax™) is used to reduce the likelihood of rejection following kidney transplantation. It binds to part of the IL-2 receptor produced on the surface of activated T cells, thus interrupting their role in tissue rejection. It has a very good side effect profile and a circulating half-life of 20 days. Basiliximab (Simulect™) has a similar effect to Darlizumab, acting on T cells to reduce their activity in tissue rejection.

  Page 574 

Anticlotting

Abciximab (ReoPro™) is used to prevent platelet aggregation and consequent clot formation in unstable angina and during angioplasty. It binds to the GPIIb/IIIa receptors on platelets, blocking the binding of fibrinogen, which acts to bind the platelets together into a plug that results in clot formation. The drug was developed from antiplatelet antibodies which were generated in mice. It consists of the Fab fragment of a human/murine MAb which is produced using a hybridoma cell line into which the gene for a chimaeric antibody has been inserted. The Fab fragment is released by treatment with papain, followed by chromatographic purification. It consists of ca. 50% murine and 50% human amino acid sequences.

Monoclonal antibodies targeted against protein mediators

Infliximab (Remicade™) is one of the most commercially successful MAbs. It is used in a combination with methotrexate to treat rheumatoid arthritis.10-12 It is a chimaeric MAb and thus has a complete Fc chain which is necessary for stimulating an immune response. The MAb binds to TNF-α, which is a protein involved in the inflammatory processes of the autoimmune response, thus causing a reduction in the levels of this protein and a reduction of the symptoms of the disease. Infliximab is also used to treat severe Crohn’s disease since TNF-α is also involved in the aetiology of this disease.
Adalimumab (Humira™) is a humanised anti-TNF antibody produced by phage display technology. It is given in combination with methotrexate in treatment of rheumatoid arthritis.
Natalizumab (Tysabri™) is used to treat relapsing multiple sclerosis by targeting an integrin protein which enables leucocytes, which are a factor in the disease, to attach themselves to cell surfaces.
Efalizumab (Raptiva™) is humanised antibody used to treat psoriasis which binds to the LFA-1 integrin protein which is expressed on all leucocytes, thus inhibiting adhesion of leucocytes to the walls of blood vessels.

Problems can occur in the use of antiprotein antibodies due to the following factors:

1. Antibody may be antigenic and be destroyed by the body’s enzymes before reaching the target.
2. The peptide targets are required for the normal functioning of the body and thus the body may self-compensate by increasing the rate of production of the peptide, leaving the disease unmodulated.
3. The receptor for the peptide target may become up-regulated as a compensation mechanism.

Monoclonal antibodies used as passive vaccines

The most widely used monoclonal antibody in this category is palivizumab (Synagis™) which is used in the prevention of lower respiratory tract infection caused by respiratory syncytial virus in premature infants, which can prove fatal.13,14 As yet, there is no successful vaccine against infection. Palivizumab is a humanised mouse MAb which binds to the RSVF protein which is present on the surface of the virus. Binding to the virus stimulates the immune response to remove the virus.

Monoclonal antibodies used in targeted therapy

Work has been carried out on the conjugation of toxic agents to antibodies for directed targeting of particular cell types. The only licensed product so far is a conjugate of the complex oligosaccharide calicheamicin and a humanised monoclonal antibody (gemtuzumab-ozogamicin or Mylotarg™) to the CD33 receptor which is present on myeloid leukaemia cells but is not present on normal stem cells, which are needed to provide a supply of blood cells. Thus the drug acts as a selective toxin against the cancerous cells.

A conjugate between Rituximab and iodine-131 (Bexxar™) is in the final stages of clinical trials for treatment, as is the indication for Rituximab itself, advanced follicular lymphoma. A similar conjugate between Rituximab and yttrium-90 is also undergoing clinical trials.

  Page 575 

image Self Test 27.3

Explain in more detail the nature of the following MAbs which have entered clinical trials. For example, in the light of the modes of action discussed in the previous pages, what is the likely mode of action for these antibodies?

LymphoCide: A humanised MAb which binds to the CD22 receptor found on some B-cell leukaemias.
Vitaxin: A humanised MAb which binds to a vascular integrin (a protein which is expressed on endothelial cells and required for angiogenesis) found on the blood vessels of tumours but not on normal blood vessels.
Anti-hepatitis B monoclonal antibody.
Anti-CD5: An antibody linked to the toxic peptide ricin with specific affinity for the CD5 receptor which is present on T cells which are overproduced in T-cell lymphoma.

Vaccines

Introduction

Vaccines provide the most cost-effective method of disease prevention. Even during the mid 1960s fifteen million cases of smallpox occurred. The disease was finally eradicated, apart from the threat of bioterrorism, in the 1970s. The goal of vaccination is to generate memory cells from B lymphocytes that enable a heightened immune response to occur upon exposure to the pathogen. There are still many infectious diseases in the world that are not adequately controlled. These diseases include: malaria, 270 million cases worldwide, 2 million deaths per annum with 2 billion at risk from the disease; tuberculosis, 20 million of those infected have symptoms of the disease and it is projected that 30 million will die this decade from TB; trypanosomiasis, 20 million infected, mainly in South America; and schistosomiasis, 200 million infected worldwide. Biotechnology has brought with it the prospect of the improvement of existing vaccines and the development of new ones against the remaining serious infectious diseases.

Box 27.3 gives a brief summary of the immune system.

Box 27.3 The immune system in brief

Aspects of the immune system have been covered in relation to the action of monoclonal antibodies. There is a range of non-specific immune defences based on the action of immune defence cells such as macrophages. The specific immune response that recognises a particular antigen is based on the activities of T and B lymphocytes. A brief summary of the immune response required for the understanding of vaccine action is given below.

B cells

B cells circulate in the blood. Their surfaces have a number of receptors (CD35, CD21, etc.) and also immunoglobulins are present on the surface of the cell. Each ‘naive’ B cell expresses an immunoglobulin (Ig) that is fairly specific for a particular antigen. If the B cell encounters the antigen that binds to its Ig it will form a clone of plasma cells, which are rapidly dividing and which secrete large amounts of the specific Ig; the ability of the Ig to recognise its antigen will be refined as the plasma cells continue to divide. As part of the immune response, a subpopulation of B cells forms memory cells, and these circulate for a very long time after the antigen has disappeared and retain the ability to recognise antigens more rapidly than the ‘naive’ B cells.

T cells

The function of the immune system is complex and thus it is difficult to determine where recognition of an antigen begins. T cells have a surveillance role and it is easiest to cast the T-helper cells as the front line of the defence. T-helper cells have a receptor called the CD4 receptor that binds to the complexes formed between the major histocompatibility complex II (MHCII) and foreign peptides that have been partially digested by antigen-presenting cells. Complexes formed with the T cells and recognised as non-self persist and cause the T-helper cells to multiply, secrete cytokines and thus trigger the division of B cells and cytotoxic T cells.

Types of vaccine

Attenuated live vaccines

These were the first type of vaccine. The attenuated organism has much in common with the infective form but due to genetic alterations it is no longer pathogenic. Genetic alterations are produced by selection of non-virulent strains upon repeated culturing of the organism or by chemical treatment. Examples include the bacille Calmette-Guérin (BCG) tuberculosis vaccine, mumps, rubella, polio and measles vaccines. The live organism gives a full immune response, penetrating into cells to produce tissue immunity as well as humoral immunity in the blood stream. Live organisms persist in the body long enough to produce both T- and B-memory cells. The organism could revert to its virulent form and those with compromised immune systems may be challenged even by the weakened pathogen. Nowadays, genetic engineering techniques can be used to specifically delete specific virulence genes.

Inactivated (dead) pathogen vaccines

The pathogen is inactivated by heat or chemicals such as formaldehyde or glutaraldehyde while ensuring that the surface antigens remain intact. Examples include cholera, whooping cough, influenza, rabies and polio vaccines. With these vaccines there is no risk of pathogenicity developing. Complex immune response can be induced by multiple antigens. Such vaccines are not necessarily completely safe; e.g. the whooping cough vaccine has occasionally produced hypersensitive responses. These vaccines do not enter cells and thus do not produce cellular immunity; they only confer humoral immunity.

  Page 576 

Purified subunit vaccines

The major determinants of the immune response are extracted from the organism and purified. For example, some organisms such as those causing tetanus and diphtheria produce toxins and the main defence of the body against these organisms is the production of antibodies against these toxins. Treatment of these toxins with formaldehyde (Box 27.4) to produce toxoids renders them safe for use as vaccines while preserving their ability to induce an immune response. A similar approach has been used in attempting to reduce the risks of the whole cell pertussis vaccine but without a wholly successful vaccine being produced. Another approach is to utilise the surface polysaccharides from bacteria. On their own, such polysaccharides are poorly immunogenic, and thus their immunogenicity is increased by conjugating them to tetanus or diphtheria toxoids. Some of the vaccines against meningitis are based on such polysaccharide–toxoid conjugates. The advantage of these types of vaccine is that there is no risk of pathogenicity and hypersensitivity, but the vaccine may only stimulate humoral immunity and is expensive to produce.

Box 27.4 Formaldehyde inactivation

The process of toxin inactivation by formaldehyde treatment is poorly understood. However, it does involve the formation of a Schiff’s base, either with lysine or arginine residues in the protein, followed by cross-linking to residues such as tyrosine, lysine and tryptophan. The quality control for this reaction is bioassay of the resultant toxoid using an animal model but there is the possibility of using mass spectrometry to follow the modification (Fig. 27.21).15

image

Figure 27.21 Formaldehyde inactivation.

Advances in oral vaccination

The development of oral vaccines for stimulation of mucosal immunity is an important goal because of the simplicity of administration. The mucosal system is the first barrier a pathogen has to penetrate, and mucosal immunity is based on the production of IgA antibodies. The oral polio vaccine was an early example. The types of vaccines used for oral dosage are the same as those available for administration by injection. Formulation of oral vaccines presents a particular challenge for the pharmacist and is likely to see major progress in the future.

Licensed vaccines

Live attenuated

Poliomyelitis (oral vaccine), measles, mumps, rubella (the attenuated virus strains are now combined in a single vaccine), tuberculosis (BCG vaccine), varicella-zoster, yellow fever.

Inactivated

Influenza (inactivated by formaldehyde or propiolactone treatment), hepatitis A (inactivated by formaldehyde treatment), pertussis (inactivated by formaldehyde treatment, usually combined with diphtheria and tetanus toxins into a single vaccine), rabies, tick-borne encephalitis (formaldehyde inactivated).

  Page 577 

Purified subunit

Influenza (formaldehyde treated haemagglutinin and neuraminidase antigens) and tetanus (formaldehyde treated tetanus toxin), diphtheria (formaldehyde treated diphtheria toxin).

Conjugated polysaccharide

Meningitis C (capsular polysaccharide conjugated to inactivated diphtheria toxin), meningitis A and C, pneumococcal vaccines (capsular polysaccharide conjugated to inactivated diphtheria toxin), typhoid (capsular polysaccharide alone).

Applications of biotechnology to vaccine production

A logical extension of the use of purified subunit vaccines is to try to produce antigenic components which are capable of producing an immune response using biotechnology. The first successful example of this was the hepatitis B subunit vaccine which has been very successful. The production of this is described in detail below.

The hepatitis B vaccine and example in detail

Hepatitis B virus infects the liver and causes progressive liver disease and ultimately liver cancer. There are about 250 million sufferers worldwide. Unlike hepatitis A, which can be contracted from contaminated food, hepatitis B is predominantly maternally or sexually transmitted or is transmitted by intravenous drug use. Infection can also arise from contact with physiological fluids and people working with these materials, e.g. in biochemistry labs, would be advised to receive vaccination against it. The first hepatitis B vaccines based on Dane particles were derived from plasma from human carriers of the disease, but supply was limited by the availability of such plasma. In addition, extensive processing of the material extracted from plasma was necessary to ensure its non-infectivity. From the point of view of patients, there was a reluctance to accept a vaccine derived from human plasma. The biotechnologically produced hepatitis B coat protein is now the most commonly used vaccine.

The vaccine is based on a surface glycoprotein of the virus coat and is thus an antigenic component vaccine as opposed to a live vaccine. Since the vaccine is not live it does not invade tissues and thus tissue immunity is not stimulated. Despite some limitations, the antigenic component hepatitis B vaccine does appear to be a highly effective vaccine.

The biotechnological process leading to the production of a hepatitis B vaccine

1. The primary structure of a surface glycoprotein (HBsAg) from the hepatitis B virus was determined. A preliminary selection of DNA coding for HBsAg was carried out using transformed E. coli cultures to amplify the viral DNA, and oligonucleotide probes were used to identify the required gene. The selected DNA was then inserted into a plasmid (pBR322) which in turn was ligated into a yeast expression vector (Fig. 27.22). Yeast was selected as a suitable organism for expression of a hepatitis B vaccine because of rapid growth characteristics in combination with production of the correctly folded protein. E. coli bacteria did not produce a correctly folded protein. The composite expression vector incorporated promoter and selection genes. The selection gene in this case was leucine synthetase which permits growth of transformed cultures in the absence of the amino acid leucine, and the promoter gene used to ‘turn on’ the expression of the HBsAg gene was glyceraldehyde 3-phosphate dehydrogenase (GAPDH). The alcohol dehydrogenase gene (ADH) was used to terminate transcription.
2. The incorporation of a leucine synthesising gene enabled selection of transformed yeast cells on the basis that they were able to grow in leucine-free medium. High-yielding colonies were selected and used as the basis of the production process. The coat protein is harvested by disrupting the yeast cells and, in the first instance, adsorbing the protein onto silica gel. The surface protein is produced in unglycosylated form but the lack of glycosylation does not appear to make it less effective as a vaccine.
image

Figure 27.22 pBR322 based expression vector used to transform yeast cells so that they produce a hepatitis B vaccine.

Hepatitis B vaccines have also been produced by genetically transformed Chinese hamster ovary (CHO) cells. These vaccines contain both glycosylated and unglycosylated forms of the coat protein and are thus indistinguishable from the natural antigen. However, it has not been established that glycosylation is important with regard to antigenicity. A CHO-derived HBV (GenHevac B) is licensed for use in France.

  Page 578 

Other recombinant vaccines

There have been no major developments in recombinant vaccine production since the hepatitis B vaccine. Recombinant vaccines were produced against Lyme disease and rotavirus but have been subsequently withdrawn from the market. Recently, an oral cholera vaccine (Dukoral) based on mixture on inactive cholera bacteria and a cholera toxin B subunit produced by recombinant technology has been launched.

Licensed recombinant vaccines

Engerix B. HBS Ag expressed in yeast cells 20 μg/mL absorbed onto aluminium hydroxide.
HBvaxPRO. HBS Ag expressed in yeast cells. Vials containing 5, 10 and 40 μg adsorbed onto aluminium hydroxphosphate sulphate.
Dukoral. Oral suspension. Inactivated cholera + recombinant cholera toxin B subunit.

Recent developments in vaccine production by biotechnology

There still remain many challenges in vaccine development and the examples discussed below indicate strategies provided by biotechnology which are being used to develop new vaccines.

Approaches to the development of an AIDS vaccine

No safe attenuated form of the virus has been recognised and thus a live attenuated vaccine is unlikely to be developed. The most promising approach is based on subunit vaccines based on the viral glycoproteins gp 160 and gp 120. These recombinant proteins have been expressed in a number of systems including yeast and mammalian cells. In order to stimulate T as well as B cell response, the genes coding these subunit vaccines have been coupled to the vaccinia virus, which has a track record of use in humans since it was used as a smallpox vaccine. A number of AIDS vaccines have undergone small-scale clinical trials.

Approaches to the development of a malaria vaccine

Vaccination against malaria is difficult because of the three stages in the development of the parasite. An effective vaccine might need to contain antigens from each stage. Examples of vaccines which have been tested have been based on: three merozite stage surface proteins, a seven-antigen vaccine containing proteins from each stage of the life cycle and a recombinant vaccine consisting of an antigen found in the sporozite stage fused with a hepatitis B antigen producing overall a stronger immune response than the antigen on its own.

Anticancer vaccines

The difficulty in developing this type of vaccine is in finding immunogens since cancers are often not recognised by the immune system as being foreign. There are three categories of tumour associated antigen: tumour-specific antigens, tumour-associated differentiation antigens which are found in normal tissues but are overexpressed in cancer cells, and antigenic peptides which are involved in the development of the cancer. A number of vaccines based on these approaches have been tested.

imageSelf Test 27.1

image
  Page 579 

imageSelf Test 27.2

1.

image

2. T. The single amino acid threonine is released from the C-terminal of the B-chain.

3. Six charges in total. Two on histidine, one on arginine, one on lysine and two at the N-terminus of the A and B chains.

4. Insulin has four aspartate residues and two terminal carboxyl groups making a total of six acidic residues. This is balanced by six basic residues. Thus the p/ value = (3+8)/2 = 5.5, i.e. that insulin will be charge neutral at that pH with the acids and bases carrying equal charges.

imageSelf Test 27.3

LymphoCide: Promotes lysis of malignant B lymphocytes by binding to a specific receptor on their surface.

Vitaxin: Binds to vascular integrin protein thus promoting its removal by the immune system and reducing angiogenesis in tumours.

Anti-hepatitis B monoclonal antibody: Binds to hepatitis B thus promoting removal of the virus, acting as a passive vaccine.

Anti-CD5: Toxic antibody targeted therapy specifically aimed at the T-cells overproduced in T-cell lymphoma.

References

1 Bhatnagar S., Srivastava D., Jayadev M.S.K., Dubey A.K. Molecular variants and derivatives of insulin for improved glycemic control in diabetes. Progress Biophys Mol Biol. 2006;91:199-228.

2 Roberts M.J., Bently M.D., Harris J.M. Chemistry for peptide and protein PEGylation. Adv Drug Deliv Rev. 2002;54:459-476.

3 Pradhananga S., Wilkinson I., Ross R.J.M. Pegvisomant: structure and function. J Mol Endocrinol. 2002;29:11-14.

4 Birch J.R., Rachner A.J. Antibody production. Adv Drug Del Rev. 2006;58:671-685.

5 Popov S., Hubbard J.G., Ward E.S. Novel and efficient method for the isolation of antibodies that recognise T cell receptor Vσs. Mol Immunol. 1996;33:493-502.

6 Azzazy H.M.E., Highsmith W.E. Phage display technology: clinical applications and recent innovations. Clin Biochem. 2002;35:425-455.

7 Ladner R.C., Sato A.K., Gorzelany J., de Souza M. Phage display-derived peptides as therapeutic alternatives to antibodies. Drug Discov Today. 2004;9:525-529.

8 Kehoe J.W., Kay B.K. Filamentous phage display in the new millennium. Chem Rev. 2005;105:4056-4072.

9 Nishbori N., Hiroyuki H., Furusawa S., Matsuda H. Humanisation of chicken monoclonal antibody using phage-display system. Mol Immunol. 2006;43:634-642.

10 Vilcek J., Feldmann M. Historical review: cytokines as therapeutics and targets of therapeutics. Trends Pharmacol Sci. 2004;25:201-209.

11 Taylor P.C. Antibody therapy for rheumatoid arthritis. Current Opinion Pharmacol. 2003;3:323-328.

12 Bayry J., Siberil S., Triebel F., et al. Rescuing CD4+CD25+ regulatory T-cell functions in rheumatoid arthritis by cytokine-targeted monoclonal antibody therapy. Drug Discov Today. 2007;12:548-552.

13 Wu H., Pfarr D.S., Johnson S., et al. Development of Motavizumab, an ultra-potent antibody for the prevention of respiratory syncytial virus infection in the upper and lower respiratory tract. J Mol Biol. 2007;368:652-665.

14 Bussel J.B., Giulino L., Lee S., et al. Update on therapeutic monoclonal antibodies. Curr Probl Pediatr Adolesc Health Care. 2007;37:118-135.

15 Thaysen-Andersen M., Jørgensen S.B., Wilhelmsen E.S., et al. Investigation of the detoxification mechanism of formaldehyde-treated tetanus toxin. Vaccine. 2007;25:2213-2227.