Page 190 
  Page 191 

Chapter 26 The inverse square law

Chapter contents

26.1 Aim 191

26.2 Intensity of radiation 191

26.3 Statement of the inverse square law 191

26.4 Similar-triangles proof of the inverse square law 192

26.5 The inverse square law and the X-ray beam 192

26.6 mAs and the inverse square law 192

Further reading 194

26.1 Aim

The aim of this chapter is to introduce the reader to the inverse square law and to explore its applications in radiography.

26.2 Intensity of radiation

To understand the inverse square law we must first understand what is meant by the term intensity.

As we have seen in Chapter 17, electromagnetic radiation is composed of quanta, each of which has an energy. If we draw a square of unit area at right angles to the path of a uniform beam of electromagnetic radiation (such as X-rays), then the total per energy second from all the quanta passing through the square is defined as the intensity of the beam, so that:

Definition

The intensity of a beam of electromagnetic radiation at a point is the total energy per second flowing past that point when normalized to a unit area.

It is not necessary at this stage to understand the units of energy or exposure to allow us to apply the inverse square law; these will be dealt with in other chapters.

26.3 Statement of the inverse square law

The intensity of the radiation emitted from a small isotropic source is inversely proportional to the square of the distance from the source, provided there is negligible absorption or scattering of the radiation by the medium through which it passes.

Note: This statement of the inverse square law also gives the conditions under which the law may be directly applied:

Small source – in practice this means small compared to the distance from the source to the point of measurement.

Isotropic source – this means that it emits radiation in all directions. This is necessary in order that the intensity of the radiation is independent of the direction from the source.

No absorption or scattering of radiation – this ensures that the radiation passing through an area is not affected by the medium through which the radiation passes. It is important to remember that back scattering of the beam from objects beyond the point of measurement must also be eliminated, as this would produce an increase in the intensity.

  Page 192 

As we will see, it is not possible to meet all of these conditions in many situations in radiography. In such cases, the law must be applied with caution or even with appropriate correction factors (e.g. absorption due to air may be important when we consider low-energy beams of X-rays).

Insight

A situation where the inverse square law does not apply is in the case of a laser beam. Because the light is essentially parallel, the intensity is constant and does not depend on distance from the source.

26.4 Similar-triangles proof of the inverse square law

Consider the situation shown in Figure 26.1. The radiation is produced at a point P and is allowed to fall on the square of side CD and the square of side EF. PB is twice the length of PA. Because the triangles are similar, we can say that EF must be twice the length of CD. So the area of the square of side EF is four times the area of the square of side CD.

image

Figure 26.1 Similar-triangles proof of the inverse square law. Note that the radiation at I2 is spread over four times the area of I1 and so the intensity at I2 is a quarter of the intensity at I1.

Remembering that the intensity is the total energy per unit time divided by the area, we can calculate that I1 must be four times the value of I2.

By doubling the distance between the point and the source of radiation, we can see that the intensity of the radiation is reduced to one quarter.

Stated mathematically, this is:


Equation 26.1 image


Using the relationship established by Equation 26.1, we can produce a table of intensities at given distances (see Table 26.1).

Table 26.1 Relationships between distance and intensity

DISTANCE AREA INTENSITY 1/(DISTANCE)2
X 1 Ix 1/X2
2X 4 Ix/4 1/4X2
3X 9 Ix/9 1/9X2
4X 16 Ix/16 1/16X2
5X 25 Ix/25 1/25X2
10X 100 Ix/100 1/100X2

26.5 The inverse square law and the X-ray beam

If we consider the three conditions listed earlier for the inverse square law to be applied, we can see that, strictly speaking, the X-ray beam does not satisfy these conditions because:

X-rays are not emitted from a true point source as the focal spot has a finite size

they are not emitted equally in all directions as the anode heel effect (see Ch. 30) causes the intensity to vary across the beam

absorption and scattering of the X-ray beam occur as it passes through air.

Because the effects are small for X-ray beams generated above 50 kVp, the inverse square law can be applied to such beams.

26.6 mAs and the inverse square law

In radiography, if the kVp is unaltered, the radiation output from the tube is altered by altering the mAs – if the mAs is doubled, then the output will be doubled. We can see how this is affected by the inverse square law from the following discussion.

  Page 193 

Suppose a given setting of mAs produces a satisfactory radiograph at a given focus to film distance (FFD). How will this setting of mAs have to be altered for a different value of FFD?

Examples

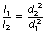
a. The absorbed dose rate in air at a distance of 60 cm from the focal spot of an X-ray tube is 0.5 mGy.s−1 (do not worry about the unit, as this does not affect the calculation!). What is the absorbed dose rate at 75 cm from the focus?

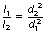
Using Equation 26.1 we can say that:


image


where I1=0.5 mGy.s−1, d1,=60 cm and d2=75 cm. I2 is what we need to calculate.

The equation can be rearranged thus:


image


(If you are unable to follow this, look at Section A.4 on cross-multiplication in Appendix A.)


image


The absorbed dose rate at 75 cm will be 0.32 mGy.s−1.

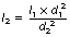
b. In the above example, at what distance would the exposure rate be 26.0 mGy.s−1?

Again, starting with Equation 26.1:


image


where I1=0.5 mGy.s−1, d = 60 cm and I2=26.0 mGy.s−1. (This time d2 is unknown).

The equation can be arranged in terms of d2:


image


The absorbed dose rate will therefore be 26.0 mGy.s−1 at a distance of 30 cm from the tube focus.

(Note: By the inverse square law, if we halve the distance, the intensity will increase by a factor of four, so the calculation is correct.)

Consider the situation shown in Figure 26.2. If a radiograph was taken using an FFD of PA and the image produced was satisfactory, then this means that the image receptor has received the correct amount of radiation. If the receptor was repositioned for an FFD of PB and the exposure factors remained unaltered, then the amount of radiation received by the receptor would be one-quarter of the correct exposure (the distance has been doubled and so the intensity is quartered). This second radiograph would be too light or underexposed. In order that the receptor at B receives the same exposure as the original film at A, the amount of radiation leaving the tube must be increased by a factor of four. This means that both these radiographs would have the same exposure index.

image

Figure 26.2 Radiographs taken at different focus to film distances. If we wish to get the same intensity of radiation on both radiographs then the mAs for PB must be four times the mAs required for PA.

From the above we can see that:

The mAs required to produce radiographs of the same exposure index at different FFDs is proportional to the FFD squared.

This can be expressed mathematically as:


Equation 26.2 image


It is important to form a mental picture of the difference between the straightforward measurement of the intensity of the radiation at a point where the amount of radiation leaving the source is constant (this involves applying the inverse square law) and this second case where the amount of radiation at a point is kept constant by altering the output from the X-ray tube (this involves using Equation 26.2).

Example

A chest radiograph was produced at an FFD of 2 m and required the following exposure factors: 65 kVp and 16 mAs. If this radiograph is repeated some time later at an FFD of 1 m at the same kVp, what mAs will be required?

Using Equation 26.2, we can say that:


image


where mAs=16 mAs, FFD1=2 m and FFD2=1 m. mAs2 is unknown.

The equation can be arranged in terms of mAs2 thus:


image


Note: By the inverse square law, if we halve the distance then we will have four times the intensity. If we want to have the same intensity to the film, then we need one-quarter of the original mAs. Therefore, the answer is correct.

Summary

In this chapter, you should have learnt the following:

The definition of radiation intensity (see Sect. 26.2).

The inverse square law and its use in calculating the intensity of radiation at a given distance from a source (see Sects 26.3-26.5).

How the mAs given for a radiograph is influenced by the FFD used because of the inverse square law (see Sect. 26.6).

  Page 194 

Further reading

Intensity of radiation

Ball J.L., Moore A.D., Turner S. Ball and Moore’s essential physics for radiographers, fourth ed. London: Blackwell Scientific, 2008. (Chapter 15)

Inverse square law

Ball J.L., Moore A.D., Turner S. Ball and Moore’s essential physics for radiographers, fourth ed. London: Blackwell Scientific, 2008. (Chapter 14)

mAs and the inverse square law

Fauber T. Radiographic imaging and exposure, second ed. New York: Mosby, 2005. (Chapter 10)